Search notes:

Perl module GraphViz2::DBI

#!/usr/bin/perl
use warnings;
use strict;

use DBI;
use GraphViz2::DBI;

my $database_name = 'the.db';

unlink $database_name if -e $database_name;

create_database();
create_erd();

sub create_database {

  my $dbh = open_db();

  $dbh->do(q{
    create table T1 (
      id      integer primary key,
      col_1   number,
      col_2   integer references T3(id),
      col_3   varchar(10),
      col_4   date
--    col_4   number not null,
--    primary key (col_1)
    )
  });

  $dbh->do(q{
    create table T2 (
      id      integer,
      col_b   varchar(10),
      col_c   varchar(10),
      col_d   varchar(20),
      primary key (col_b, col_c),
      foreign key (id) references T1(id)
    )
  });

  $dbh->do(q{
    create table T3 (
      id      integer primary key, -- Apparently, must be named id!!!
      col_y   integer,
      col_z   varchar(99)
      )
    });

  $dbh -> disconnect;

}

sub create_erd {

  my $dbh = open_db();

  my $graph = GraphViz2 -> new (
    edge   => {color => 'grey'},
    global => {directed => 1},
    graph  => {rankdir => 'TB'},
  # logger =>  …
    node   => {color => 'blue', shape => 'oval'},
  );

  my $g  = GraphViz2::DBI -> new(dbh => $dbh, graph => $graph);

  $g -> create(name => '');

  my $format = 'png';

  $graph -> run(format => $format, output_file => "erd.$format");

  $dbh->disconnect;

}

sub open_db {

  my $attr               = {};
  # $$attr{sqlite_unicode} = 1;

# my $dbh = DBI->connect("dbi:SQLite:dbname=$database_name", $attr) or die "Could not create $database_name";
  my $dbh = DBI->connect("dbi:SQLite:$database_name", '', '', $attr) or die "Could not create $database_name";

# $dbh -> do('PRAGMA foreign_keys = ON');

  return $dbh;
}
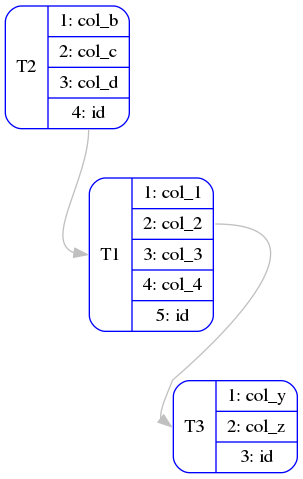
Github repository PerlModules, path: /GraphViz2/DBI/script.pl
The produces

Problems

Apparently, GraphViz2::DBI is very picky about the create table statements (in SQLite?) Doing it a bit differently (though correctly, as far as i know), resulted in a Primary table 'T1'. Foreign table 'T2'. Unable to find primary key name for foreign key 'col_a' error.
Thankfully, Ron Savage helped me out on this problem.

See also

Perl modules
GraphViz::DBI

Index

Fatal error: Uncaught PDOException: SQLSTATE[HY000]: General error: 8 attempt to write a readonly database in /home/httpd/vhosts/renenyffenegger.ch/php/web-request-database.php:78 Stack trace: #0 /home/httpd/vhosts/renenyffenegger.ch/php/web-request-database.php(78): PDOStatement->execute(Array) #1 /home/httpd/vhosts/renenyffenegger.ch/php/web-request-database.php(30): insert_webrequest_('/notes/developm...', 1759391176, '216.73.216.42', 'Mozilla/5.0 App...', NULL) #2 /home/httpd/vhosts/renenyffenegger.ch/httpsdocs/notes/development/languages/Perl/modules/GraphViz2/DBI/index(140): insert_webrequest() #3 {main} thrown in /home/httpd/vhosts/renenyffenegger.ch/php/web-request-database.php on line 78